pandas是什么?

是它嗎?
。。。。很顯然pandas沒有這個家伙那么可愛。。。。
我們來看看pandas的官網是怎么來定義自己的:
pandas is an open source, easy-to-use data structures and data analysis tools for the Python programming language.
很顯然,pandas是python的一個非常強大的數據分析庫!
讓我們來學習一下它吧!
1.pandas序列
import numpy as np import pandas as pd s_data = pd.Series([1,3,5,7,np.NaN,9,11])#pandas中生產序列的函數,類似于我們平時說的數組 print s_data

2.pandas數據結構DataFrame
import numpy as np import pandas as pd #以20170220為基點向后生產時間點 dates = pd.date_range('20170220',periods=6) #DataFrame生成函數,行索引為時間點,列索引為ABCD data = pd.DataFrame(np.random.randn(6,4),index=dates,columns=list('ABCD')) print data print print data.shape print print data.values 
3.DataFrame的一些操作(1)
import numpy as npimport pandas as pd#設計一個字典d_data = {'A':1,'B':pd.Timestamp('20170220'),'C':range(4),'D':np.arange(4)}print d_data#使用字典生成一個DataFramedf_data = pd.DataFrame(d_data)print df_data#DataFrame中每一列的類型print df_data.dtypes#打印A列print df_data.A#打印B列print df_data.B#B列的類型print type(df_data.B)
4.DataFrame的一些操作(2)
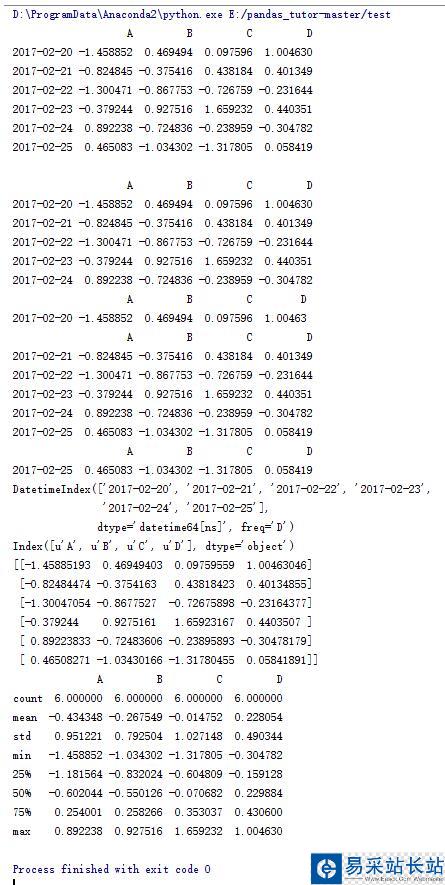
import numpy as np import pandas as pd dates = pd.date_range('20170220',periods=6) data = pd.DataFrame(np.random.randn(6,4),index=dates,columns=list('ABCD')) print data print #輸出DataFrame頭部數據,默認為前5行 print data.head() #輸出輸出DataFrame第一行數據 print data.head(1) #輸出DataFrame尾部數據,默認為后5行 print data.tail() #輸出輸出DataFrame最后一行數據 print data.tail(1) #輸出行索引 print data.index #輸出列索引 print data.columns #輸出DataFrame數據值 print data.values #輸出DataFrame詳細信息 print data.describe() 
5.DataFrame的一些操作(3)
import numpy as np import pandas as pd dates = pd.date_range('20170220',periods=6) data = pd.DataFrame(np.random.randn(6,4),index=dates,columns=list('ABCD')) print data print #轉置 print data.T #輸出維度信息 print data.shape #轉置后的維度信息 print data.T.shape #將列索引排序 print data.sort_index(axis = 1) #將列索引排序,降序排列 print data.sort_index(axis = 1,ascending=False) #將行索引排序,降序排列 print data.sort_index(axis = 0,ascending=False) #按照A列的值進行升序排列 print data.sort_values(by='A')
新聞熱點
疑難解答