excel中如何求一系列數據的方差呢,請聽我細細道來。
一、var函數
1、函數 VAR 假設其參數是樣本總體中的一個樣本。公式意義見下圖:
注意:到下圖一中的根號內的分式分母為n-1


2、我現在想用var函數求單元格區域A1:A10這一列數據的方差。在單元格A13輸入函數:=VAR(A1:A10),見下圖,然后回車

3、這樣用var函數求得的單元格區域A1:A10這一列數據的方差就放在了單元格A13了,見下圖

二、var.p函數
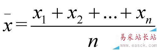
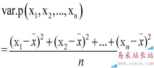
1、函數 VAR.P計算基于整個樣本總體的方差。公式意義見下圖:
注意:到下圖一中的根號內的分式分母為n


2、我現在想用var.p函數求單元格區域A1:A10這一列數據的方差,在單元格B13輸入函數:=VAR.P(A1:A10),見下圖,然后回車

3、這樣用var.p函數求得的單元格區域A1:A10這一列數據的標準方差就放在了單元格B13了,見下圖

4、函數 VAR.P 假設其參數為樣本總體。如果數據代表樣本總體中的一個樣本,則使用函數 VAR 計算方差
相關推薦:
Excel表格怎么做多因素方差分析?
Excel怎么計算一組數據的標準方差?
Excel表格怎么使用相對標準偏差計算公式處理數據?
新聞熱點
疑難解答