方法/步驟
第一步,打開Excel 2007

點擊菜單欄的“插入”,再選擇“對象”

彈出對話框。將滾動條拖到最下方,選擇“Microsoft 公式 3.0”,雙擊或者點擊“確定”。

公式的編輯區域出現,及相關的對話框也出現。

可以用鍵盤輸入數字,英文字符。其他數學公式的經常用到的符號,大于小于號,加減號,屬于,因為所以,希臘字母,根式,上下標等都可以在這個對話框中找到。

這樣再復雜的公式也可以寫出來。

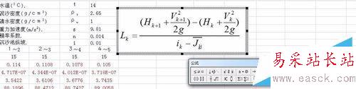
公式寫完之后如果還想編輯,就可以雙擊公式,這樣對話框會再彈出來。

注意事項
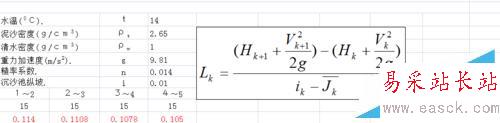
在使用Excel做比較復雜的計算的時候,最好在旁邊寫上公式。這樣變量之間的關系就一目了然了
以上就是在excel中插入公式方法介紹,大家看明白了嗎,希望能對大家有所幫助!
新聞熱點
疑難解答