Raptor編寫小程序很簡單,想要實現判斷數據是否為整數,該怎么編寫呢?下面我們就來看看詳細的教程。
一、編程
1、雙擊軟件圖標,打開軟件。記得先保存,不保存也沒事后面系統也會提示保存


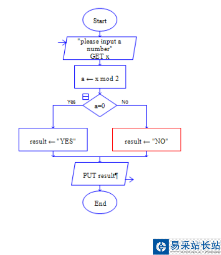
2、會看到已經有Start 和End了 在這兩個之間依次添加輸入 賦值 選擇 賦值 賦值 輸出 符號。添加完后如下圖所示

3、雙擊輸入框 在輸入框上方輸入 "please input a number",下方輸入 x

4、雙擊選擇框 在選擇框輸入 a=0

5、雙擊賦值框1 在上方輸入 a 下方輸入x mod 2,雙擊賦值框2 在上方輸入 result 下方輸入 "YES",雙擊賦值框3 在上方輸入 result 下方輸入 "NO"



6、雙擊輸出框輸入 result 最終結果如下圖


二、運行流程圖
點擊上方箭頭圖標,我以8為例運行 最終輸出結果為 YES



以上就是Raptor判斷一個數是否為整數的教程,希望大家喜歡,請繼續關注錯新站長站。
相關推薦:
Raptor怎么判斷一個年份是不是閏年?
新聞熱點
疑難解答
圖片精選