在我們實際生活中,許多事件發生的結果存在著非此即彼的現象,如拋硬幣,正面朝上的結果不是“是”就是“否”,或“正”或“反”;出生嬰兒的性別一般是“男”或“女”,抽獎的結果不是“中了”就是“沒中”等。這些事件可以被稱為伯努利實驗。
伯努利分布(Bernoulli distribution)又名兩點分布或0-1分布。伯努利分布是一個離散型的隨機分布,其中的隨機變量只有兩類取值。伯努利試驗是單次隨機試驗,只有"成功(值為1)"或"失?。ㄖ禐?)"這兩種結果,是由瑞士科學家雅各布·伯努利(1654 - 1705)提出來的。
伯努利試驗是只有兩種可能結果的單次隨機試驗,即對于一個隨機變量X而言:

則稱隨機變量X服從參數為p的伯努利分布,若令q=1一p,則X的概率函數可寫為:

或:

其期望值為:

其方差為:

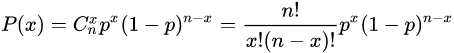
二項分布(Binomial distribution)即重復n次的伯努利試驗,記為 X~b(n,p)。概率密度函數(概率質量函數)為

其中,

是組合公式,表示從n個不同元素中取出x個元素的所有組合的個數。其中n是試驗次數,x是試驗結果為正的次數,q是試驗結果為正的概率,1-q是試驗結果為負的概率。
顯然,從定義可以看出,伯努利分布是二項分布在n=1時的特例.
其期望為:
μ = np
方差為:
σ2=npq
(1)dbinom(x, size, prob) 試驗size次,每次成功率為prob,成功x次的概率是多少?
(2)pbinom(q, size, prob) 成功q次的累計概率
(3)rbinom(n, size, prob) 返回n個試驗size次的成功次數
假設玩拋硬幣游戲,共拋10次,每次正面朝上(成功)的概率為0.5,
size <- 10
p <- 0.5
x <- 6
dbinom(x, size, p)
pbinom(x, size, p)
rbinom(x, size, p)

新聞熱點
疑難解答