加速計是整個IOS屏幕旋轉的基礎,依賴加速計,設備才可以判斷出當前的設備方向,IOS系統共定義了以下七種設備方向:
UIDeviceOrientationUnknown,
UIDeviceOrientationPortrait, // Device oriented vertically, home button on the bottom
UIDeviceOrientationPortraitUpsideDown, // Device oriented vertically, home button on the top
UIDeviceOrientationLandscapeLeft, // Device oriented horizontally, home button on the right
UIDeviceOrientationLandscapeRight, // Device oriented horizontally, home button on the left
UIDeviceOrientationFaceUp, // Device oriented flat, face up
UIDeviceOrientationFaceDown // Device oriented flat, face down
};
UIInterfaceOrientationPortrait = UIDeviceOrientationPortrait,
UIInterfaceOrientationPortraitUpsideDown = UIDeviceOrientationPortraitUpsideDown,
UIInterfaceOrientationLandscapeLeft = UIDeviceOrientationLandscapeRight,
UIInterfaceOrientationLandscapeRight = UIDeviceOrientationLandscapeLeft
};
一、UIKit處理屏幕旋轉的流程
當加速計檢測到方向變化的時候,會發出 UIDeviceOrientationDidChangeNotification 通知,這樣任何關心方向變化的view都可以通過注冊該通知,在設備方向變化的時候做出相應的響應。上一篇博客中,我們已經提到了在屏幕旋轉的時候,UIKit幫助我們做了很多事情,方便我們完成屏幕旋轉。
UIKit的相應屏幕旋轉的流程如下:
1、設備旋轉的時候,UIKit接收到旋轉事件。
2、UIKit通過AppDelegate通知當前程序的window。
3、Window會知會它的rootViewController,判斷該view controller所支持的旋轉方向,完成旋轉。
4、如果存在彈出的view controller的話,系統則會根據彈出的view controller,來判斷是否要進行旋轉。
二、UIViewController實現屏幕旋轉
在響應設備旋轉時,我們可以通過UIViewController的方法實現更細粒度的控制,當view controller接收到window傳來的方向變化的時候,流程如下:
1、首先判斷當前viewController是否支持旋轉到目標方向,如果支持的話進入流程2,否則此次旋轉流程直接結束。
2、調用 willRotateToInterfaceOrientation:duration: 方法,通知view controller將要旋轉到目標方向。如果該viewController是一個container view controller的話,它會繼續調用其content view controller的該方法。這個時候我們也可以暫時將一些view隱藏掉,等旋轉結束以后在現實出來。
3、window調整顯示的view controller的bounds,由于view controller的bounds發生變化,將會觸發 viewWillLayoutSubviews 方法。這個時候self.interfaceOrientation和statusBarOrientation方向還是原來的方向。
4、接著當前view controller的 willAnimateRotationToInterfaceOrientation:duration: 方法將會被調用。系統將會把該方法中執行的所有屬性變化放到動animation block中。
5、執行方向旋轉的動畫。
6、最后調用 didRotateFromInterfaceOrientation: 方法,通知view controller旋轉動畫執行完畢。這個時候我們可以將第二部隱藏的view再顯示出來。
整個響應過程如下圖所示:
以上就是UIKit下一個完整的屏幕旋轉流程,我們只需要按照提示做出相應的處理就可以完美的支持屏幕旋轉。
三、注意事項和建議
1)注意事項
當我們的view controller隱藏的時候,設備方向也可能發生變化。例如view Controller A彈出一個全屏的view controller B的時候,由于A完全不可見,所以就接收不到屏幕旋轉消息。這個時候如果屏幕方向發生變化,再dismiss B的時候,A的方向就會不正確。我們可以通過在view controller A的viewWillAppear中更新方向來修正這個問題。
2)屏幕旋轉時的一些建議
•在旋轉過程中,暫時界面操作的響應。
•旋轉前后,盡量當前顯示的位置不變。
•對于view層級比較復雜的時候,為了提高效率在旋轉開始前使用截圖替換當前的view層級,旋轉結束后再將原view層級替換回來。
•在旋轉后最好強制reload tableview,保證在方向變化以后,新的row能夠充滿全屏。例如對于有些照片展示界面,豎屏只顯示一列,但是橫屏的時候顯示列表界面,這個時候一個界面就會顯示更多的元素,此時reload內容就是很有必要的。
IOS:屏幕旋轉與Transform
iTouch,iPhone,iPad設置都是支持旋轉的,如果我們的程序能夠根據不同的方向做出不同的布局,體驗會更好。
如何設置程序支持旋轉呢,通常我們會在程序的info.plist中進行設置Supported interface orientations,添加我們程序要支持的方向,而且程序里面每個viewController也有方法
supportedInterfaceOrientations(6.0及以后)
shouldAutorotateToInterfaceOrientation(6.0之前的系統)
通過viewController的這些方法,我們可以做到更小粒度的旋轉控制,如程序中僅僅允許個別界面旋轉。
一、屏幕旋轉背后到底做了什么呢?
下面我們看個簡單的例子,用xcode新建一個默認的單視圖工程,然后在對應viewController的響應旋轉后的函數中輸出一下當前view的信息,代碼如下:
//
// SvRotateViewController.m
// SvRotateByTransform
//
// Created by maple on 4/21/13.
// Copyright (c) 2013 maple. All rights reserved.
//
#import "SvRotateViewController.h"
@interface SvRotateViewController ()
@end
@implementation SvRotateViewController
- (void)viewDidLoad
{
[super viewDidLoad];
// Do any additional setup after loading the view, typically from a nib.
self.view.backgroundColor = [UIColor grayColor];
}
- (void)didReceiveMemoryWarning
{
[super didReceiveMemoryWarning];
// Dispose of any resources that can be recreated.
}
- (BOOL)shouldAutorotateToInterfaceOrientation:(UIInterfaceOrientation)interfaceOrientation
{
return YES;
}
- (BOOL)shouldAutorotate
{
return YES;
}
- (NSUInteger)supportedInterfaceOrientations
{
return UIInterfaceOrientationMaskAll;
}
- (void)willRotateToInterfaceOrientation:(UIInterfaceOrientation)toInterfaceOrientation duration:(NSTimeInterval)duration
{
NSLog(@"UIViewController will rotate to Orientation: %d", toInterfaceOrientation);
}
- (void)didRotateFromInterfaceOrientation:(UIInterfaceOrientation)fromInterfaceOrientation
{
NSLog(@"did rotated to new Orientation, view Information %@", self.view);
}
@end
查看代碼我們可以發現,我們的viewController支持四個方向,然后在旋轉完成的didRotateFromInterfaceOrientation函數中打印了self.view的信息,旋轉一圈我們可以看到如下輸出:
二、什么是Transform
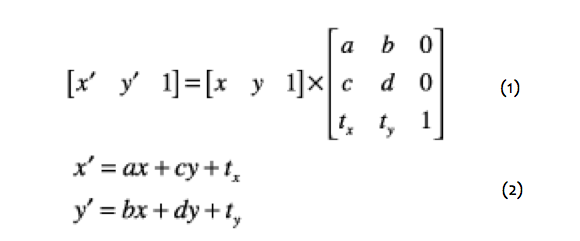
Transform(變化矩陣)是一種3×3的矩陣,如下圖所示:
通過這個矩陣我們可以對一個坐標系統進行縮放,平移,旋轉以及這兩者的任意組著操作。而且矩陣的操作不具備交換律,即矩陣的操作的順序不同會導致不同的結果。UIView有個transform的屬性,通過設置該屬性,我們可以實現調整該view在其superView中的大小和位置。
矩陣實現坐標變化背后的數學知識:
設x,y分別代表在原坐標系統中的位置,x',y'代表通過矩陣變化以后在新的系統中的位置。其中式1就是矩陣變化的公式,對式1進行展開以后就可以得到式2。從式2我們可以清楚的看到(x,y)到(x',y')的變化關系。
1)當c,b,tx,ty都為零時,x' = ax,y' = by;即a,d就分別代表代表x,y方向上放大的比例;當a,d都為1時,x' = x,y' = y;這個時候這個矩陣也就是傳說中的CGAffineTransformIdentity(標準矩陣)。
2)當a,d為1,c,b為零的時候,x' = x + tx,y' = y + ty;即tx,ty分別代表x,y方向上的平移距離。
3)前面兩種情況就可以實現縮放和平移了,那么旋轉如何表示呢?
假設不做平移和縮放操作,那么從原坐標系中的一點(x,y)旋轉α°以后到了新的坐標系中的一點(x',y'),那么旋轉矩陣如下:
展開以后就是x' = xcosα - ysinα,y' = xsinα + ycosα;
實際應用中,我們將這些變化綜合起來,即可完成所有二維的矩陣變化。現在我們在回過頭來看看前面設備旋轉時的輸出,當設備位于Portrait的時候由于矩陣是標準矩陣,所以沒有進行打印。當轉到UIInterfaceOrientationLandscapeLeft方向的時候,我們的設備是順時針轉了90°(逆時針為正,順時針為負),這個時候矩陣應該是(cos-90°,sin-90°,-sin-90°,cos-90°,tx,ty),由于未進行平移操作所以tx,ty都為0,剛好可以跟我們控制臺輸出:"<UIView: 0x8075390; frame = (0 0; 320 480); transform = [0, -1, 1, 0, 0, 0]; autoresize = W+H; layer = <CALayer: 0x8074980>>"一致。觀察其他兩個方向的輸出,發現結果均和分析一致。
由此可以發現屏幕旋轉其實就是通過view的矩陣變化實現,當設備監測到旋轉的時候,會通知當前程序,當前程序再通知程序中的window,window會通知它的rootViewController的,rootViewController對其view的transform進行設置,最終完成旋轉。
如果我們直接將一個view添加到window上,系統將不會幫助我們完成旋操作,這個時候我們就需要自己設置該view的transform來實現旋轉了。這種情況雖然比較少,但是也存在的,例如現在很多App做的利用狀態欄進行消息提示的功能就是利用自己創建window并且自己設置transform來完成旋轉支持的,下一篇博客會介紹如何實現這種消息通知。
新聞熱點
疑難解答