想要判斷年份是不是閏年,4年一潤,100年不潤,400年再潤。那么用算法表示的話應該怎么表示呢?其實這之間涉及到了邏輯中的 與、或。,下面我們就來看看Raptor判斷年份是不是閏年的教程。
一、編程
1、雙擊軟件圖標打開軟件

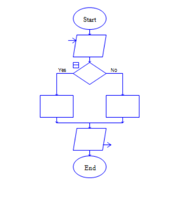
2、依次在 Start 和 End之間添加 輸出 選擇 賦值 賦值 輸出 符號。添加完后如圖所示

3、雙擊輸出框,在上方輸入"input a number" 下方輸入 x

4、雙擊判斷框 輸入 x mod 4=0 and x mod 100!=0 or x mod 400=0

5、在左側輸入框上方輸入 result 下方輸入 "YES",在右側輸入框上方輸入 result 下方輸入 "NO"


6、雙擊輸出框 輸入 result 完成程序框圖的設計 最后如圖所示

二、運行流程
1、點擊上方小箭頭運行程序

2、我以2000年為例 輸入2000 最終結果為 YES


以上就是Raptor判斷年份是不是閏年的編寫方法,希望大家喜歡,請繼續關注武林網。
相關推薦:
Raptor怎么下載安裝? Raptor安裝圖文教程
新聞熱點
疑難解答
圖片精選