想要判斷一個數被另一個數整除與否的效果,該怎么編寫呢?判斷一個數是否能被7整除就是判斷這個數除以7是否余數為0。為0則代表能整除,今天我們就來看看使用Raptor軟件編寫程序的教程。
1、雙擊軟件圖標打開軟件 記得保存哦 不保存后面系統也會提醒保存的

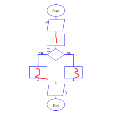
2、依次在Start和End間添加 輸入 賦值 選擇 賦值 賦值 輸出 符號 添加完后如圖所示

3、在輸入框上面輸入 "please input a number of x" 下面輸入 x

4、在賦值框1上方輸入 n 下方輸入 x mod 7
在賦值框1上方輸入 result 下方輸入 "YES"
在賦值框1上方輸入 result 下方輸入 "NO"



5、在判斷框輸入 n=0

6、在輸出框輸入 "The result is:"+result 也可直接輸入 result 你可以試一試這兩個運行結果有何不同


7、點擊上方箭頭運行程序

8、我以35為例 最終結果為YES 代表35可以被7整除


以上就是Raptor判斷一個數是否能被7整除的教程,希望大家喜歡,請繼續關注武林網。
相關推薦:
Raptor怎么判斷不同分數學生等級?
Raptor怎么判斷一個年份是不是閏年?
新聞熱點
疑難解答
圖片精選