在學習傅里葉變換的時候遇到了求周期方波信號頻譜圖的例子,在書上和網上查閱了一些資料,發現大都是討論的都是下圖左邊的周期信號的頻譜,課程老師的PPT中也只列出了另一種周期信號頻譜圖的結論,沒有在進行傅里葉變換,自己便根據定義推導了一遍,貼在這里作記錄和分享之用。
關于傅立葉級數展開的另一討論在我的另一篇文章https://www.jb51.net/article/144194.htm

2016年11月21號更新
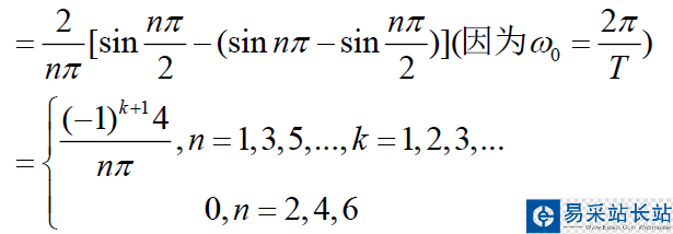
在第二個周期方波信號的傅里葉變換里,注意是

轉換為sin函數下為

之前寫錯了,今天更正。
對于這兩種方波信號,我們也可以編程驗證一下,就是用正弦函數去逼近方波信號,Python的實現代碼如下:
# 分析傅里葉級數分解之后cos和sin的和項的圖像輸出from numpy import mgrid,sin,cos,array,pifrom matplotlib.pyplot import plot,show,title,legend,xlabel,ylabelx = mgrid[0:10:0.02] # 這里類似于MATLAB用冒號產生步長為0.02的序列,但是語法和MATLAB不同# 下面的這段循環實現y=sin(x)+sin(3x)+...+sin(19x)def cos_square(): y1 = 0; for i in range(0,20,1): b = (-1)**(i)*cos((2*i+1)*x)/(2*i+1) y1=b+y1 # 這種求和的方法是從C語言移植過來的 plot(x,y1,'orange',linewidth=0.6) title('cos_square') xlabel('Time') ylabel('Amplitude') show()def sin_square(): y2 = 0 for i in range(0,20,1): b = sin((2*i+1)*x)/(2*i+1) y2=b+y2 # 這種求和的方法是從C語言移植過來的 plot(x,y2,'g',linewidth=0.6) title('sin_square') xlabel('Time') ylabel('Amplitude') show()cos_square() sin_square()輸出結果如下:


由結果可以看兩種不同的方波級數展開是正確的
以上就是本文的全部內容,希望對大家的學習有所幫助,也希望大家多多支持武林站長站。
新聞熱點
疑難解答