概率論啊概率論,差不多忘完了。
基于概率論的分類方法:樸素貝葉斯
1. 概述
貝葉斯分類是一類分類算法的總稱,這類算法均以貝葉斯定理為基礎,故統稱為貝葉斯分類。本章首先介紹貝葉斯分類算法的基礎——貝葉斯定理。最后,我們通過實例來討論貝葉斯分類的中最簡單的一種: 樸素貝葉斯分類。
2. 貝葉斯理論 & 條件概率
2.1 貝葉斯理論
我們現在有一個數據集,它由兩類數據組成,數據分布如下圖所示:

我們現在用 p1(x,y) 表示數據點 (x,y) 屬于類別 1(圖中用圓點表示的類別)的概率,用 p2(x,y) 表示數據點 (x,y) 屬于類別 2(圖中三角形表示的類別)的概率,那么對于一個新數據點 (x,y),可以用下面的規則來判斷它的類別:
如果 p1(x,y) > p2(x,y) ,那么類別為1如果 p2(x,y) > p1(x,y) ,那么類別為2
也就是說,我們會選擇高概率對應的類別。這就是貝葉斯決策理論的核心思想,即選擇具有最高概率的決策。
2.1.2 條件概率
如果你對 p(x,y|c1) 符號很熟悉,那么可以跳過本小節。
有一個裝了 7 塊石頭的罐子,其中 3 塊是白色的,4 塊是黑色的。如果從罐子中隨機取出一塊石頭,那么是白色石頭的可能性是多少?由于取石頭有 7 種可能,其中 3 種為白色,所以取出白色石頭的概率為 3/7 。那么取到黑色石頭的概率又是多少呢?很顯然,是 4/7 。我們使用 P(white) 來表示取到白色石頭的概率,其概率值可以通過白色石頭數目除以總的石頭數目來得到。

如果這 7 塊石頭如下圖所示,放在兩個桶中,那么上述概率應該如何計算?

計算 P(white) 或者 P(black) ,如果事先我們知道石頭所在桶的信息是會改變結果的。這就是所謂的條件概率(conditional probablity)。假定計算的是從 B 桶取到白色石頭的概率,這個概率可以記作 P(white|bucketB) ,我們稱之為“在已知石頭出自 B 桶的條件下,取出白色石頭的概率”。很容易得到,P(white|bucketA) 值為 2/4 ,P(white|bucketB) 的值為 1/3 。
條件概率的計算公式如下:
P(white|bucketB) = P(white and bucketB) / P(bucketB)
首先,我們用 B 桶中白色石頭的個數除以兩個桶中總的石頭數,得到 P(white and bucketB) = 1/7 .其次,由于 B 桶中有 3 塊石頭,而總石頭數為 7 ,于是 P(bucketB) 就等于 3/7 。于是又 P(white|bucketB) = P(white and bucketB) / P(bucketB) = (1/7) / (3/7) = 1/3 。
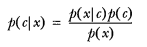
另外一種有效計算條件概率的方法稱為貝葉斯準則。貝葉斯準則告訴我們如何交換條件概率中的條件與結果,即如果已知 P(x|c),要求 P(c|x),那么可以使用下面的計算方法:

使用條件概率來分類
上面我們提到貝葉斯決策理論要求計算兩個概率 p1(x, y) 和 p2(x, y):
如果 p1(x, y) > p2(x, y), 那么屬于類別 1;如果 p2(x, y) > p1(X, y), 那么屬于類別 2.
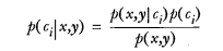
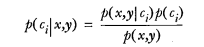
這并不是貝葉斯決策理論的所有內容。使用 p1() 和 p2() 只是為了盡可能簡化描述,而真正需要計算和比較的是 p(c1|x, y) 和 p(c2|x, y) .這些符號所代表的具體意義是: 給定某個由 x、y 表示的數據點,那么該數據點來自類別 c1 的概率是多少?數據點來自類別 c2 的概率又是多少?注意這些概率與概率 p(x, y|c1) 并不一樣,不過可以使用貝葉斯準則來交換概率中條件與結果。具體地,應用貝葉斯準則得到:

使用上面這些定義,可以定義貝葉斯分類準則為:
如果 P(c1|x, y) > P(c2|x, y), 那么屬于類別 c1;如果 P(c2|x, y) > P(c1|x, y), 那么屬于類別 c2.
在文檔分類中,整個文檔(如一封電子郵件)是實例,而電子郵件中的某些元素則構成特征。我們可以觀察文檔中出現的詞,并把每個詞作為一個特征,而每個詞的出現或者不出現作為該特征的值,這樣得到的特征數目就會跟詞匯表中的詞的數目一樣多。
我們假設特征之間 相互獨立 。所謂 獨立(independence) 指的是統計意義上的獨立,即一個特征或者單詞出現的可能性與它和其他單詞相鄰沒有關系,比如說,“我們”中的“我”和“們”出現的概率與這兩個字相鄰沒有任何關系。這個假設正是樸素貝葉斯分類器中 樸素(naive) 一詞的含義。樸素貝葉斯分類器中的另一個假設是,每個特征同等重要。
Note: 樸素貝葉斯分類器通常有兩種實現方式: 一種基于伯努利模型實現,一種基于多項式模型實現。這里采用前一種實現方式。該實現方式中并不考慮詞在文檔中出現的次數,只考慮出不出現,因此在這個意義上相當于假設詞是等權重的。
2.2 樸素貝葉斯場景
機器學習的一個重要應用就是文檔的自動分類。
在文檔分類中,整個文檔(如一封電子郵件)是實例,而電子郵件中的某些元素則構成特征。我們可以觀察文檔中出現的詞,并把每個詞作為一個特征,而每個詞的出現或者不出現作為該特征的值,這樣得到的特征數目就會跟詞匯表中的詞的數目一樣多。
樸素貝葉斯是上面介紹的貝葉斯分類器的一個擴展,是用于文檔分類的常用算法。下面我們會進行一些樸素貝葉斯分類的實踐項目。
2.3 樸素貝葉斯 原理
樸素貝葉斯 工作原理
提取所有文檔中的詞條并進行去重
獲取文檔的所有類別
計算每個類別中的文檔數目
對每篇訓練文檔:
對每個類別:
如果詞條出現在文檔中-->增加該詞條的計數值(for循環或者矩陣相加)
增加所有詞條的計數值(此類別下詞條總數)
對每個類別:
對每個詞條:
將該詞條的數目除以總詞條數目得到的條件概率(P(詞條|類別))
返回該文檔屬于每個類別的條件概率(P(類別|文檔的所有詞條))
2.4 樸素貝葉斯開發流程
收集數據: 可以使用任何方法。
準備數據: 需要數值型或者布爾型數據。
分析數據: 有大量特征時,繪制特征作用不大,此時使用直方圖效果更好。
訓練算法: 計算不同的獨立特征的條件概率。
測試算法: 計算錯誤率。
使用算法: 一個常見的樸素貝葉斯應用是文檔分類。可以在任意的分類場景中使用樸素貝葉斯分類器,不一定非要是文本。
2.5 樸素貝葉斯算法特點
優點: 在數據較少的情況下仍然有效,可以處理多類別問題。
缺點: 對于輸入數據的準備方式較為敏感。
適用數據類型: 標稱型數據。
2.6 樸素貝葉斯 項目案例
2.6.1 項目案例1
屏蔽社區留言板的侮辱性言論
2.6.1.1 項目概述
構建一個快速過濾器來屏蔽在線社區留言板上的侮辱性言論。如果某條留言使用了負面或者侮辱性的語言,那么就將該留言標識為內容不當。對此問題建立兩個類別: 侮辱類和非侮辱類,使用 1 和 0 分別表示。
2.6.1.2 開發流程
收集數據: 可以使用任何方法
準備數據: 從文本中構建詞向量
分析數據: 檢查詞條確保解析的正確性
訓練算法: 從詞向量計算概率
測試算法: 根據現實情況修改分類器
使用算法: 對社區留言板言論進行分類
收集數據: 可以使用任何方法
2.6.1.3 構造詞表
def loadDataSet(): """ 創建數據集 :return: 單詞列表postingList, 所屬類別classVec """ postingList = [['my', 'dog', 'has', 'flea', 'problems', 'help', 'please'], #[0,0,1,1,1......] ['maybe', 'not', 'take', 'him', 'to', 'dog', 'park', 'stupid'], ['my', 'dalmation', 'is', 'so', 'cute', 'I', 'love', 'him'], ['stop', 'posting', 'stupid', 'worthless', 'garbage'], ['mr', 'licks', 'ate', 'my', 'steak', 'how', 'to', 'stop', 'him'], ['quit', 'buying', 'worthless', 'dog', 'food', 'stupid']] classVec = [0, 1, 0, 1, 0, 1] # 1 is abusive, 0 not return postingList, classVec
2.6.1.4 準備數據: 從文本中構建詞向量
def createVocabList(dataSet): """ 獲取所有單詞的集合 :param dataSet: 數據集 :return: 所有單詞的集合(即不含重復元素的單詞列表) """ vocabSet = set([]) # create empty set for document in dataSet: # 操作符 | 用于求兩個集合的并集 vocabSet = vocabSet | set(document) # union of the two sets return list(vocabSet) def setOfWords2Vec(vocabList, inputSet): """ 遍歷查看該單詞是否出現,出現該單詞則將該單詞置1 :param vocabList: 所有單詞集合列表 :param inputSet: 輸入數據集 :return: 匹配列表[0,1,0,1...],其中 1與0 表示詞匯表中的單詞是否出現在輸入的數據集中 """ # 創建一個和詞匯表等長的向量,并將其元素都設置為0 returnVec = [0] * len(vocabList)# [0,0......] # 遍歷文檔中的所有單詞,如果出現了詞匯表中的單詞,則將輸出的文檔向量中的對應值設為1 for word in inputSet: if word in vocabList: returnVec[vocabList.index(word)] = 1 else: print "the word: %s is not in my Vocabulary!" % word return returnVec
2.6.1.5 分析數據: 檢查詞條確保解析的正確性
檢查函數執行情況,檢查詞表,不出現重復單詞,需要的話,可以對其進行排序。
>>> listOPosts, listClasses = bayes.loadDataSet()>>> myVocabList = bayes.createVocabList(listOPosts)>>> myVocabList['cute', 'love', 'help', 'garbage', 'quit', 'I', 'problems', 'is', 'park','stop', 'flea', 'dalmation', 'licks', 'food', 'not', 'him', 'buying', 'posting', 'has', 'worthless', 'ate', 'to', 'maybe', 'please', 'dog', 'how','stupid', 'so', 'take', 'mr', 'steak', 'my']
檢查函數有效性。例如:myVocabList 中索引為 2 的元素是什么單詞?應該是是 help 。該單詞在第一篇文檔中出現了,現在檢查一下看看它是否出現在第四篇文檔中。
>>> bayes.setOfWords2Vec(myVocabList, listOPosts[0])[0, 0, 1, 0, 0, 0, 1, 0, 0, 0, 1, 0, 0, 0, 0, 0, 0, 0, 1, 0, 0, 0, 0, 1, 1, 0, 0, 0, 0, 0, 0, 1] >>> bayes.setOfWords2Vec(myVocabList, listOPosts[3])[0, 0, 0, 1, 0, 0, 0, 0, 0, 1, 0, 0, 0, 0, 0, 0, 0, 1, 0, 1, 0, 0, 0, 0, 0, 0, 1, 0, 0, 0, 0, 0]
2.6.1.6 訓練算法: 從詞向量計算概率
現在已經知道了一個詞是否出現在一篇文檔中,也知道該文檔所屬的類別。接下來我們重寫貝葉斯準則,將之前的 x, y 替換為 w. 粗體的 w 表示這是一個向量,即它由多個值組成。在這個例子中,數值個數與詞匯表中的詞個數相同。

我們使用上述公式,對每個類計算該值,然后比較這兩個概率值的大小。
首先可以通過類別 i (侮辱性留言或者非侮辱性留言)中的文檔數除以總的文檔數來計算概率 p(ci) 。接下來計算 p(w | ci) ,這里就要用到樸素貝葉斯假設。如果將 w 展開為一個個獨立特征,那么就可以將上述概率寫作 p(w0, w1, w2…wn | ci) 。這里假設所有詞都互相獨立,該假設也稱作條件獨立性假設(例如 A 和 B 兩個人拋骰子,概率是互不影響的,也就是相互獨立的,A 拋 2點的同時 B 拋 3 點的概率就是 1/6 * 1/6),它意味著可以使用 p(w0 | ci)p(w1 | ci)p(w2 | ci)…p(wn | ci) 來計算上述概率,這樣就極大地簡化了計算的過程。
2.6.1.7 樸素貝葉斯分類器訓練函數
def _trainNB0(trainMatrix, trainCategory): """ 訓練數據原版 :param trainMatrix: 文件單詞矩陣 [[1,0,1,1,1....],[],[]...] :param trainCategory: 文件對應的類別[0,1,1,0....],列表長度等于單詞矩陣數,其中的1代表對應的文件是侮辱性文件,0代表不是侮辱性矩陣 :return: """ # 文件數 numTrainDocs = len(trainMatrix) # 單詞數 numWords = len(trainMatrix[0]) # 侮辱性文件的出現概率,即trainCategory中所有的1的個數, # 代表的就是多少個侮辱性文件,與文件的總數相除就得到了侮辱性文件的出現概率 pAbusive = sum(trainCategory) / float(numTrainDocs) # 構造單詞出現次數列表 p0Num = zeros(numWords) # [0,0,0,.....] p1Num = zeros(numWords) # [0,0,0,.....] # 整個數據集單詞出現總數 p0Denom = 0.0 p1Denom = 0.0 for i in range(numTrainDocs): # 是否是侮辱性文件 if trainCategory[i] == 1: # 如果是侮辱性文件,對侮辱性文件的向量進行加和 p1Num += trainMatrix[i] #[0,1,1,....] + [0,1,1,....]->[0,2,2,...] # 對向量中的所有元素進行求和,也就是計算所有侮辱性文件中出現的單詞總數 p1Denom += sum(trainMatrix[i]) else: p0Num += trainMatrix[i] p0Denom += sum(trainMatrix[i]) # 類別1,即侮辱性文檔的[P(F1|C1),P(F2|C1),P(F3|C1),P(F4|C1),P(F5|C1)....]列表 # 即 在1類別下,每個單詞出現的概率 p1Vect = p1Num / p1Denom# [1,2,3,5]/90->[1/90,...] # 類別0,即正常文檔的[P(F1|C0),P(F2|C0),P(F3|C0),P(F4|C0),P(F5|C0)....]列表 # 即 在0類別下,每個單詞出現的概率 p0Vect = p0Num / p0Denom return p0Vect, p1Vect, pAbusive
總結
以上就是本文關于Python編程之基于概率論的分類方法:樸素貝葉斯的全部內容,希望對大家有所幫助。有什么問題可以隨時留言,小編會及時回復大家的。感謝朋友們對VEVB武林網網站的支持!
新聞熱點
疑難解答